Dastur kodining biror qismining ko’p marta bajalishi sikl hisoblanadi. Dastur kodining qandaydir qismini qandaydir shart asosida birnecha marta bajartirish uchun dasturlashda sikldan foydalaniladi. Agar shart rost bo’lsa sikl davom qiladi. Aks holda to’xtatiladi. Agar shart hamisha rost bo’lsa bunday sikl cheksiz sikl deb ataladi.
C++ da siklni tashkil qilish uchun while, do while va for operatorlari mavjud.
Siklni o’rganish uchun eng oson misol bu 1 dan n gacha natural sonlarning yig’indisini(1+2+3+…+n) topish dasturini tuzish. Bu yig’indini takrorlanish jarayoni orqali hisoblash uchun 1 dan n gacha sonlarni birma-bir qo’shib chiqish lozim. Yig’indining dastlabki qiymatini 0 ga tenglaymiz. Siklning har bir qadamida quyidagi amallar bajariladi:
s=0;
1-qadam. s=s+1=0+1=1;
2-qadam. s=s+2=1+2=3;
3-qadam. s=s+3=3+3=6;
4-qadam. s=s+4=6+4=10;
5-qadam. s=s+5=10+5=15;
………………………….
i-qadam. s=s+i;
………………………….
n-qadam. s=s+n;
Har bir qadamda bir xil amal bajariladi, ya’ni yog’indining yangi qiymatini hosil qilish uchun uning avvalgi qadamdagi qiymatiga navbatdagi natural son qo’shiladi.
1) while sikli.
Bu siklda shart oldindan qo’yiladi. Agar shart rost bo’lsa sikl tanasi bajariladi. Aks holda sikl to’xtab undan keyingi qadamga o’tiladi.
while (shart) {
sikl tanasi
}
1 dan n gacha sonlar yig’indisini topish uchun har bir qadamda navbatdagi sonni qo’shib borish uchun i o’zgaruvchi e’lon qilamiz.
#include
using namespace std;
int main() {
int s = 0, i = 1, n;
cout<<"n=";
cin>>n;
while (i <= n) {
s += i;
i++;
}
cout<<"s="<<s;
}
Dastur kodini bir boshdan qarab chiqamiz. Bizga uchta o’zgaruvchi kerak. Birinchi o’zgaruvchi n soni, ikkinchi o’zgaruvchi sanab borish uchun ishlatiladigan i o’zgaruvchisi, uchinchisi yig’indining qiymatini saqlash uchun s o’zgaruvchi. Siklni boshlashdan oldin yig’indining qiymatini nolga tenglaymiz, shunda unga qandaydir sonni birinchi marta qo’shganimizda uning o’zi hosil bo’ladi. i o’zgaruvchining dastlabki qiymatini 1 ga tenglaymiz, chunki 1 dan boshlab yig’indiga qo’shib borishimiz lozim. Agar i≤n shart bajarilsa u holda i ni yig’indiga qo’shamiz(s+=i bu s=s+i ning qisqacha yozilishi) va i ning qiymatini orqali birga oshiramiz(i++ bu inkrement).
Cheksiz sikl.
while yordamida cheksiz sikl hosil qilish uchun shart ifodaga hamisha rost qiymat qabul qiladigan mantiqiy ifoda, o’zgaruvchi yoki rost konstanta qiymatini yozishimiz mumkin.
while (1) {
cout<<"Cheksiz sikl\n";
}
2) do while sikli.
do while sikli while sikliga o’xshash, farqi shart sikl oxirida tekshiriladi va shart bajarilsin yoki bajarilmasin kamida bir marta(1-sikl) sikl bajariladi.
1 dan n gacha sonlar yig’indisi quyidagicha yoziladi:
#include
using namespace std;
int main() {
int s = 0, i = 1, n;
cout<<"n=";
cin>>n;
do {
s += i;
i++;
}while (i <= n);
cout<<"s="<<s;
}
Bu siklda i o’zgaruvchinig qiymati qanday bo’lishidan qat’iy nazar sikl bir marta aylanadi. Bu siklni sonni kiritishda unig tog’riligini tekshirish va toki to’g’ri kiritilmaguncha kiritishni davom qildirish uchun foydalanishimiz mumkin. Masalan yuqoridagi masalamizda n soni natural bo’lishi kerak, agar natural son kiritilmasa yana kiritishni so’rash lozim:
do {
cout<<"n=";
cin>>n;
}while (n < 1);
3) for sikli.
for sikli sintaksisi quyidagicha:
for(sikl boshlanishidan oldingi amallar; sikl davom etish sharti; siklning har bir iteratsiyasi oxiridagi amallar) {
sikl tanasi;
}
Iteratsiya deb siklning bir marta bajarilishiga aytiladi. Agar ma’lum qadam bilan bitta o’zgaruvchining qiymatini o’zgartirib takrorlanuvchi jarayon amalga oshirish lozim bo’lsa, u holda uni quyidagicha xususiy holda yozishimiz mumkin:
for(<o’zgaruvchi tipi> o’zgaruvchi =boshlang’ich qiymat; o’zgaruvchi <=oxirgi qiymat; o’zgaruvchi +=sikl qadami) {
sikl tanasi;
}
1 dan n gacha sonlar yig’indisini topish uchun quyidagicha sikl amalga oshirishimiz mumkin:
#include
using namespace std;
int main() {
int s = 0, n;
cout<<"n=";
cin>>n;
for (int i = 1; i <= n; i++) {
s += i;
}
cout<<s;
}
Bu siklda i ning qiymati sikl boshlanishidan avval 1 ga teng qiymatni qabul qiladi. Yana bitta iteratsiya qilish uchun bajarilishi kerak bo’lgan shart i<=n, agar shart rost bo’lsa, yana bitta iteratsiya bajariladi, iteratsiya oxirida i ning qiymati birga oshiriladi(i++). Keyingi har bir iteratsiyada for siklining ikkinchi va uchinchi qismlari bajariladi, 1-qismi boshqa bajarilmaydi. Eng oxirgi iteratsiyadan oxirida i ning qiymati oshirilgach n+1 ga teng bo’ladi va keyingi iteratsiyada shart yolg’on qiymat qabul qilganligi sababli (n+1<=n yolg’on qiymat qabul qiladi) sikl aylanishi tugaydi.
Sikl o’zgaruvchisi i haqiqiy son ham bo’la oladi. Masalan 1 dan 10 gacha sonlarni 0.01 qadam bilan chiqarish uchun ya’ni 1, 1.01, 1.02, 1.03, …, 10 sonlarini chiqarish uchun quyidagicha sikl yoziladi.
for (double x = 1; x <= 10; x += 0.01) {
cout<<x<<" ";
}
x sikl parametri bu safar haqiqiy qiymatni qabul qiladi va har bir iteratsiya oxirida qiymati 0.01 ga oshiriladi.
for siklining uchta qismidan istalgan qismini yozmaslik mumkin:
double x = 1;
for (; x <= 10; x += 0.01) {
cout<<x<<" ";
}
bu kod avvalgi yozilgani bilan bir xil, faqat x=1 dastlabki qiymatni o’zlashtirish for ichida yozilmadi.
double x = 1;
for (; ; x += 0.01) {
cout<<x<<" ";
}
Bu kod qismida x ning qiymati 1 dan boshlab 0.01 qadam bilan oshirib boriladi, lekin to’xtash sharti yozilmadi, shuning uchun cheksiz sikl hosil bo’ladi.
double x = 1;
for (; ;) {
cout<<x<<" ";
}
Bu holatda esa x ning qiymati iteratsiya oxirida o’zgartirilmadi shuning uchun cheksiz ko’p marta x ning dastlabki qiymati 1 chirariladi.
break operatori.
break operatori siklni uning bajarilish sharti rost qiymat qabul qilishiga qaramasdan to’xtatish uchun qo’llaniladi. Yuqoridagi x ning qiymati 1 dan 100 gacha 0.01 qadam bilan oshirib boradigan misolda
double x = 1;
for (; ;) {
if (x > 100.000001)
break;
cout<<x<<" ";
x += 0.01;
}
break operatorining ishlatishga misollardan biri berilgan sonning tub yoki tub emasligini aniqlaydigan dastur yozish.
Sonning tub ekanligini aniqlash uchun uni 2 dan gacha bo’lgan sonlarga bo’linishini tekshiramiz. Agar ulardan biriga qoldiqsiz bo’linadigan bo’lsa, u holda bu son tub emas. 103 sonining tub ekanligini aniqlash uchun 2,3,4,5,6,7,8,9 va 10 sonlariga bo’linishini tekshiramiz.
#include
using namespace std;
int main() {
int n;
cin>>n;
bool is_prime = true;
for (int i = 2; i*i <= n; i++) {
if (n % i==0) {
is_prime = false;
break;
}
}
if (n==1)
is_prime = false;
if (is_prime)
cout<<"Tub";
else
cout<<"Tub emas";
}
Dastur kodini taxlil qilib chiqamiz. cin>>n – n sonini kiritish. is_prime o’zgaruvchisi - berilgan sonning tub ekanligining rost yoki yolg’onligini saqlovchi qiymat. Dastlab sonni tub deb tasavvur qilamiz(is_prime = true). 2 dan gacha sonlarni ko’rib chiqish uchun for (int i=2; i<=sqrt(n); i++) ko’rinishida siklni amalga oshirish lozim. i<=sqrt(n) shartning ikkala tamonini kvadratga ko’tarib, uning o’rniga i*i <= n shartni yozish mumkin.
n soni i ga qoldiqsiz bo’linishi uchun n ni i ga bo’lgandagi qoldiq qiymati nolga teng bo’lishi kerak(if (n % i==0)). Agar bunday shart bajarilsa, u holda tekshiilayotgan son tub emas degan xulosaga kelinadi, ya’ni uning 1 dan kata va o’ziga teng bo’lmagan birorta bo’luvchisi bor. Endi qolgan sonlarga bo’linishini tekshirishning zaruriyati yo’q, siklni to’xtatish mumkin. Berilgan son tub emas degan xulosaga kelamiz(is_prime = false) va siklni to’xtatamiz(break).
Agar n=1 bo’lsa n soni 2 dan boshlab hech bir songa bo’linmaydi va is_prime true qiymatini saqlab qoladi.Buni alohida tekshirish lozim: agar n birga teng bo’lsa u holda u tub emas. Agar berilgan son tub bo’lsa is_prime o’zgaruvchisi true qiymatni saqlab qoladi.
continue operatori.
continue operatori siklni to’xtatmasdan, uni keyingi iteratsiyadan davom qildirib ketish uchun ishlatiladi. Masalan a dan b gacha sonlar yig’indisi va ular ichidan n ga qoldiqsiz bo’linmaydigan sonlar sonini topish dasturini for sikli yordamida quyidagicha yozish mumkin:
#include
using namespace std;
int main() {
int a, b, n;
cin>>a>>b>>n;
int sum = 0, cnt = 0;
for (int i = a; i <= b; i++) {
sum += i;
if (i % n != 0)
cnt++;
}
cout<<a<<" dan "<<b<<" gacha sonlar yig'indisi: "<<sum<<endl;
cout<<n<<" ga bo'linmaydigan sonlar soni: "<<cnt<<endl;
}
a dan b gacha barcha sonlarni ko’rib chiqamiz, sum += i summaga barcha i larni qo’shib boramiz, agar navbatdagi son i ga qoldiqsiz bo’linsa if (i % n != 0), i ga bo’linadigan sonlar sonini birga oshiramiz(cnt++). Siklni continue operatori bilan quyidagi shaklda ham yozish mumkin:
for (int i = a; i <= b; i++) {
sum += i;
if (i % n==0)
continue;
cnt++;
}
Bu shaklda yozilganda sum += i hamisha bajariladi. Agar n %i==0 shart bajarilsa u holda siklning navbatdagi iteratsiyasiga o’tiladi. Ya’ni bizga n ga bo’linmaydigan sonlar soni kerak. Agar n %i==0 shart bajarilmasa, u holda sikl tanasining navbatdagi amali ya’ni cnt++ bajarilib bo’linmaydigan sonlar soni birga oshiriladi.
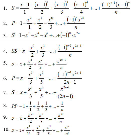
Topshiriqlar
Topshiqlarni unda ko’rsatilgan sikldan foydalanib yozing.
1-Topshiriq. while sikli
